longest math equation copy paste

Hard Math Equation Copy And Paste - Tessshebaylo. 15 Pics about Hard Math Equation Copy And Paste - Tessshebaylo : Longest Math Equation Copy Paste - Best Excel Tutorial - How to insert, Hard Math Equations Copy And Paste - Tessshebaylo and also Algebra 1 Unit 3 Interactive Notebook Pages | Solving Equations – Math.

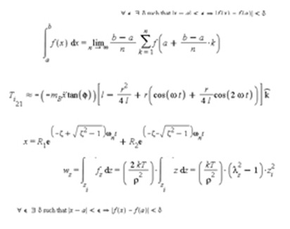
Hard Math Equation Copy And Paste - Tessshebaylo

Hard Math Equation Copy And Paste - Tessshebaylo www.tessshebaylo.com

equation

How Do I Write Mathematical Equations On Education Perfect? - Education

How do I write mathematical equations on Education Perfect? - Education help.educationperfect.com

equations education perfect mathematical write

🙂💔 . | Math Equation, Math, Post

🙂💔 . | Math equation, Math, Post www.pinterest.com

Freckled Hen: August 2010

Freckled Hen: August 2010 freckledhen.blogspot.com

freckled

15-07-2015 | Math, Math Equations

15-07-2015 | Math, Math equations www.pinterest.com

rumi poem

Twitter | Math, Math Equations

Twitter | Math, Math equations www.pinterest.jp

Hard Math Equations Copy And Paste - Tessshebaylo

Hard Math Equations Copy And Paste - Tessshebaylo www.tessshebaylo.com

136 Best Images About Kindergarten - Bugs On Pinterest | Bumble Bees

136 best images about Kindergarten - Bugs on Pinterest | Bumble bees www.pinterest.com

writing kindergarten bugs insects insect science activities teaching bug dragonfly preschool butterflies grade research literacy unit minibeasts crafts prompts skills

Longest Math Equation Copy Paste - Best Excel Tutorial - How To Insert

Longest Math Equation Copy Paste - Best Excel Tutorial - How to insert componentjame.blogspot.com

debye excel

Algebra 1 Unit 3 Interactive Notebook Pages | Solving Equations – Math

Algebra 1 Unit 3 Interactive Notebook Pages | Solving Equations – Math mathbythemountain.wordpress.com

solving mathbythemountain algebra literal

Writing A Mathematical Equations - YouTube

Writing a Mathematical Equations - YouTube www.youtube.com

Hard Math Equations Copy And Paste - Tessshebaylo

Hard Math Equations Copy And Paste - Tessshebaylo www.tessshebaylo.com

algebra algebraic maths

Slide5 | Math, Teaching, Math Equations

Slide5 | Math, Teaching, Math equations www.pinterest.com

Twitter | Math, Math Equations

Twitter | Math, Math equations www.pinterest.de

喧嘩

Math Equation Copy Paste - Microsoft Community

Math Equation Copy Paste - Microsoft Community answers.microsoft.com

paste copy math equation microsoft

Writing a mathematical equations. How do i write mathematical equations on education perfect?. Writing kindergarten bugs insects insect science activities teaching bug dragonfly preschool butterflies grade research literacy unit minibeasts crafts prompts skills