solubility and concentration worksheet answer key

Solutions for dilutions worksheet - Practice Problems on Concentrations. 17 Pictures about Solutions for dilutions worksheet - Practice Problems on Concentrations : Worksheets On Solution Concentration, Solubility Curve Worksheet and also Solubility Curve Worksheet.

Solutions For Dilutions Worksheet - Practice Problems On Concentrations

Solutions for dilutions worksheet - Practice Problems on Concentrations www.coursehero.com

worksheet dilutions practice problems solutions answer key mass

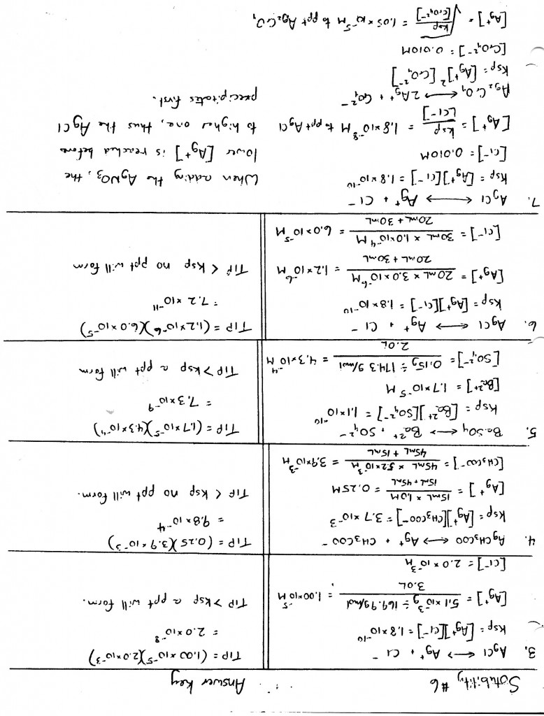
Solubility Curve Worksheet

Solubility Curve Worksheet studylib.net

solubility worksheet curve curves answer key graph answers lab water practice chloride ammonium problems grams dissolve data studylib many

Concentration And Molarity Phet Answer Key - Concentration And Molarity

concentration and molarity phet answer key - concentration and molarity www.coursehero.com

concentration phet molarity key answer weblab pdf

Solubility - Complete Lesson (KS3) | Teaching Resources

Solubility - complete lesson (KS3) | Teaching Resources www.tes.com

ks3 solubility lesson complete docx kb

Chemistry 12 | The Blog Site Of S. Siddeeq

Chemistry 12 | The Blog Site of S. Siddeeq blogs.vsb.bc.ca

solubility

Molarity Worksheet Answers Chemistry

Molarity Worksheet Answers Chemistry ivuyteq.blogspot.com

molarity molality homeschooldressage ivuyteq

Worksheet. Solubility Rules Worksheet. Grass Fedjp Worksheet Study Site

worksheet. Solubility Rules Worksheet. Grass Fedjp Worksheet Study Site www.grassfedjp.com

solubility rules worksheet chemistry showme science

Solubility Lesson Plans & Worksheets | Lesson Planet

Solubility Lesson Plans & Worksheets | Lesson Planet www.lessonplanet.com

solubility

Summit Chemistry Rox: Interpreting Solubility Worksheet

Summit Chemistry Rox: Interpreting Solubility Worksheet summitchemmes.blogspot.com

interpreting solubility worksheet rox chemistry summit

Bestseller: Solution Concentration Worksheet Practice Problems Answers

Bestseller: Solution Concentration Worksheet Practice Problems Answers actbookdownloads.blogspot.com

problems answers stoichiometry chemistry equation chemical practice worksheet concentration bestseller

Solubility - Ms Beaucage

Solubility - Ms Beaucage msbeaucage.weebly.com

solubility worksheet chemistry key p3

Solubility Rules Worksheet | Mychaume.com

Solubility Rules Worksheet | Mychaume.com mychaume.com

solubility rules worksheet precipitation reactions mychaume

Solubility Worksheet 1 Answer Key - Home School

Solubility Worksheet 1 Answer Key - Home School homeshcooler2.blogspot.com

molar worksheeto solubility mole basically identifying pogil webquest if8766 chessmuseum classifying predicting askworksheet stoichiometry sixteen

Worksheets On Solution Concentration

Worksheets On Solution Concentration worksheets.ambrasta.com

concentration worksheet answers percent worksheets solution practice yumpu problems

Solubility Curve Worksheet Answers Key - Worksheet

Solubility Curve Worksheet Answers Key - worksheet novenalunasolitaria.blogspot.com

solubility kinetics chem chemistrynotes

17 Best Images Of Who Rules Worksheet Answers - Naming Binary Covalent

17 Best Images of Who Rules Worksheet Answers - Naming Binary Covalent www.worksheeto.com

answers worksheet rules chemical equilibrium solubility answer key worksheets worksheeto via sponsored links

Solubility And Solutions Worksheet For 10th Grade | Lesson Planet

Solubility and Solutions Worksheet for 10th Grade | Lesson Planet www.lessonplanet.com

solubility lessonplanet

Worksheets on solution concentration. Answers worksheet rules chemical equilibrium solubility answer key worksheets worksheeto via sponsored links. Molar worksheeto solubility mole basically identifying pogil webquest if8766 chessmuseum classifying predicting askworksheet stoichiometry sixteen